高光谱图像拥有“看见人眼看不见”的能力,但真正让数据变成信息、让特征从噪声里被“挖”出来的,是光谱预处理和降维。本期我们用最直观的案例——瘀伤猕猴桃,带你看看原始光谱如何在一系列预处理(平滑、SNV、MSC)和降维方法(PCA、MNF)的作用下,逐渐显露出清晰的组织结构和损伤特征。只需几张图,你就能看到“高光谱处理前后”的巨大差别,也能迅速理解为何预处理,比建模本身更重要。
平滑方法主要用于消除光谱中的高频随机噪声,同时尽量保留光谱的整体趋势和峰形。
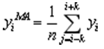
移动平均是最基本的平滑方法。它通过取当前点及其邻域点的平均值来平滑光谱。该方法可以平滑高频噪声,但对一些尖刺噪声不敏感。公式如下:

其中,为移动窗口的大小。
python代码示例:

SG平滑的核心思想是对光谱信号在一个滑动窗口内进行多项式拟合,用拟合后的值替换原始光谱点。与简单的移动平均相比,SG平滑不仅可以去除高频噪声,还能保持光谱峰形和信号的局部特征。该公式如下:在窗口大小为2m+1的条件下,对第i个光谱点的平滑为:
其中,是多项式拟合得到的系数,为窗口内光谱点的原始值。
python代码示例:

中值滤波是用窗口内的中位数替代当前点值,对偶发的尖刺噪声(毛刺)特别有效。
python代码示例:

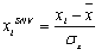
SNV是一种归一化方法,通过对每条光谱进行中心化与标准化,消除光谱间的散射效应或强度差异,并保留光谱的相对形态。公式如下:

其中表示光谱均值,表示光谱标准差。
python代码示例:

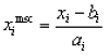
MSC通过线性回归将每条光谱与参考光谱(通常为平均光谱)拟合,校正乘法与加法散射效应。该方法可以校正散射引起的强度差异,保留光谱的形状特征。公式如下:
,其中
其中为第i波长的光谱,参考光谱,通常是所有样本的平均光谱,、为回归系数,为拟合后的光谱。
python代码示例:

在高光谱图像处理中,PCA是一种常用的降维方法,用于减少波段冗余、降低噪声并提取主要光谱信息。高光谱图像通常由三维数据立方体表示,包含空间维度和数百个光谱波段。PCA 降维的核心思想是将每个像素的光谱向量视为高维数据,通过对所有像素数据进行零均值化、计算协方差矩阵并求其特征值和特征向量,得到按方差大小排序的主成分。选取前若干主成分即可将高光谱数据从高维映射到低维,同时保留大部分光谱信息。降维后的数据不仅减少了计算量,还显著提高了信噪比,可用于可视化、分类或聚类分析。例如,前三个主成分可以组合成伪彩色图像直观展示空间结构。总体而言,PCA降维是高光谱图像处理和分析中的重要预处理手段,可有效压缩数据、去除冗余和噪声,同时保留光谱特征。
在高光谱图像处理中,MNF降维是一种常用的数据降噪与压缩方法,其核心思想是通过考虑光谱噪声特性来提取主要信号成分。MNF降维一般分两步进行:第一步,对原始高光谱数据进行噪声估计并对数据进行噪声归一化,将噪声影响标准化;第二步,在归一化后的数据上进行主成分分析(PCA),提取方差最大的成分作为主要信号,而将噪声占主导的低方差成分舍弃。与传统PCA不同,MNF 通过先考虑噪声结构,使降维后的前几主成分在信噪比上更优,更能突出真实光谱信号。MNF降维后的数据不仅减少了波段冗余,还有效降低了噪声,广泛应用于高光谱图像的可视化、分类和目标识别等任务。由于其能够同时实现噪声抑制和特征压缩,MNF 常被认为是处理高光谱数据的高级降维方法。
不同预处理方法处理后的光谱曲线如下图所示。相对于原始光谱,平滑预处理方法(如Savitzky-Golay、移动平均和中值滤波)主要消除了光谱曲线上的高频波动,使光谱曲线更平滑,同时保持了整体峰位和基线的基本形态。SNV方法则对原始光谱的幅值和偏移进行了标准化,使不同样品的光谱在同一水平上对齐,同时略微改变了曲线的整体高度。MSC通过线性回归校正光散射造成的幅值和偏移差异,既保持峰形特征,又消除了样品间的散射差异。然而,SNV和MSC没有消除光谱中的高频噪声。组合方法(如SG+SNV或SG+MSC)先对光谱进行高频噪声平滑,再进行散射校正,兼顾了平滑与散射校正的效果,使光谱既平整又保持峰形特征。通过对比处理前后的光谱,可以直观观察到各方法对噪声、散射和基线的调节作用,从而选择最适合的预处理策略。

以瘀伤猕猴桃的光谱图像降维为例,瘀伤猕猴桃的高光谱图像及特定波长的灰度图像如下图所示。

瘀伤猕猴桃的高光谱图像及特定波长的灰度图像
在对瘀伤猕猴桃的高光谱数据进行PCA与MNF分析后发现,两种方法均能在主成分中提取出与组织变化相关的特征,但表现存在显著差异。PCA的PC1主要表征果肉组织的整体反射率与密度分布,PC2能够明显突出瘀伤区域的吸收增强,是PCA中最具诊断意义的分量;而从PC3开始噪声占主导,出现明显条纹伪影,已不适合进一步分析。相比之下,MNF通过按信噪比排序有效抑制了噪声,其 MNF1展现稳定的组织背景特征,MNF2能以更高的对比度和更清晰的边界分离出瘀伤核心区域,MNF3则进一步强化损伤边缘结构,呈现出瘀伤扩散的层次变化。整体而言,MNF在瘀伤特征增强、噪声抑制和组织细节保持方面显著优于PCA,其中MNF2–MNF3是最具诊断价值的特征分量。

猕猴桃样本的全光谱图像进行PCA和MNF分析
下期预告
下期我们将介绍关于高光谱图像的识别分类,关于高光谱图像分类的方法监督分类。
地址:无锡市梁溪区南湖大道飞宏路58-1-108
电话:13810664973
邮箱:info@dualix.com.cn
地址:北京市海淀区中关村大街19号
电话:13810664973
邮箱:info@dualix.com.cn
地址:陕西省西安市高新区科技一路40号盛方科技园B座三层东区
电话:13810664973
邮箱:info@dualix.com.cn
地址:成都市青羊区顺城大街206号四川国际大厦七楼G座
电话:13810664973
邮箱:info@dualix.com.cn
地址:深圳市龙华区民治梅龙路
电话:13810664973
邮箱:info@dualix.com.cn